











ReStore Full-Body Red Light Therapy Panel: Touch Screen, Adjustable Brightness & Pulsed Frequencies
** ReStore orders will be shipped directly from our manufacturer. Please allow ~3 - 4 weeks for delivery **
Thank you for your patience and understanding!
Restore (v.):
: return to a vibrant state
: implies a resumption of an original state after depletion or loss
: renew
The ReStore is the most innovative and complete full-body red light therapy panel on the market!

This updated version of the ReCharge has multiple upgrades to an already cutting-edge red light therapy panel. On top of BioLight's patent-pending Dual LED technology (that allows for every single LED to produce red or NIR light versus only red or NIR light), this panel includes:
-
No more physical buttons — now you control everything on a touch screen!
-
Light settings: red/NIR light combo, red light only & NIR light only
-
Adjustable timer
-
Adjustable light irradiance (from 1 - 100% brightness)
-
Adjustable pulsed frequencies (from 0 - 10,000 Hz)
-
Floor stand w/ wheels and door hanging kit options (both included!)

Adjustable light irradiance: Being able the adjust the brightness/power of the light allows you to further fine-tune and dictate your treatment dosage. For example, the skin and the eyes require very low treatment dosages whereas the brain, bones and nerves require much higher treatment dosages in order to realize beneficial results. By being able to manually adjust the light irradiance, you can now lower the light power to assure that you won't be "overdosing" for those conditions that require less light energy or you can increase the light irradiance to augment those conditions that require larger amounts of light energy.
Adjustable pulsed frequencies: Research has demonstrated that various pulsed frequencies of light can be beneficial for specific conditions. For example, a study utilizing 40 Hz oscillations has been shown to be especially beneficial for mitigating and/or reversing signs and symptoms of cognitive decline that precede Alzheimer's disease.

Leading the red light therapy space in safety, BioLight panels incorporate the lowest light flicker on the market and the lowest EMF emissions possible.
At the end of the day, you are getting the best of all worlds with BioLight: superior light therapy innovation, education/protocol treatments, safety and superior customer service!
Package Includes
-
ReStore panel (with power plug of your country's shipping address)
-
Door hanging kit
-
Floor stand
-
Protective eyewear
-
Owner's Manual
-
The Red Light Therapy Guide ebook
ReStore Specs
-
Dimensions: 36" x 12" x 3"
-
Weight: 18 lbs
-
LEDs: 300
-
Light Spectrum: 660nm (red) & 850nm (near-infrared)
-
Three light settings: all red, all NIR or combo red/NIR
-
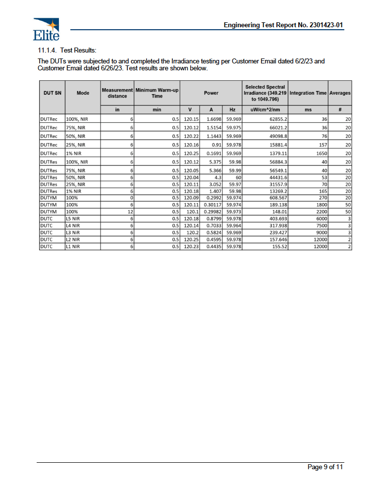
Light Irradiance (@6"):
-
100% intensity: 56.9 mW/cm²
-
75%: 56.5 mW/cm²
-
50%: 44 mW/cm²
-
25%: 32 mW/cm²
-
1%: 13 mW/cm²
-
Light Pulsing: 1 - 10,000 Hz
-
Light flicker: 1.2% modulation, 60Hz
-
EMF Emission (see picture below for safe levels):
-
Standard magnetic: 0.3 mG
-
Standard electric: 30 V/m
-
Weighted magnetic: 0.3 mG
-
Weighted electric: 24V/m
-
RF: 0.15 mW/m²
-
-
Focusing Lens Beam Angle: 30°
-
Cooling fans: 8
-
Power: 476W
-
Electrical Input: 100-240VAC 50/60Hz (meaning this panel works both with US/Canada and international power supply)
-
LED Lifespan: 100,000 Hours
-
Programmable timer
-
Return Period: 60 days
-
Warranty: 3 Years
The below is a photo from the owner's manual of the Tri-Field EMF Meter:
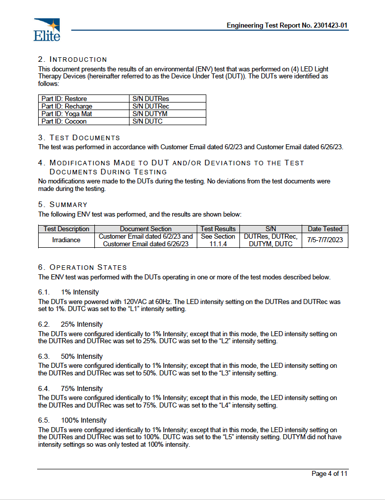
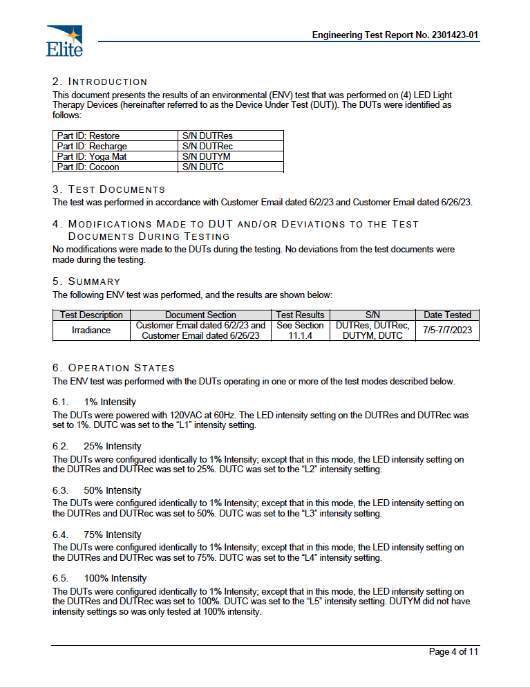
Third Party Test Results




ABOUT THE BRAND
SHIPPING & RETURNS
Elige opciones












ReStore Full-Body Red Light Therapy Panel: Touch Screen, Adjustable Brightness & Pulsed Frequencies
Precio de oferta$1,799.00
Recently viewed
Need help?




